Официальное опубликование правовых актов
ОФИЦИАЛЬНОЕ ОПУБЛИКОВАНИЕ
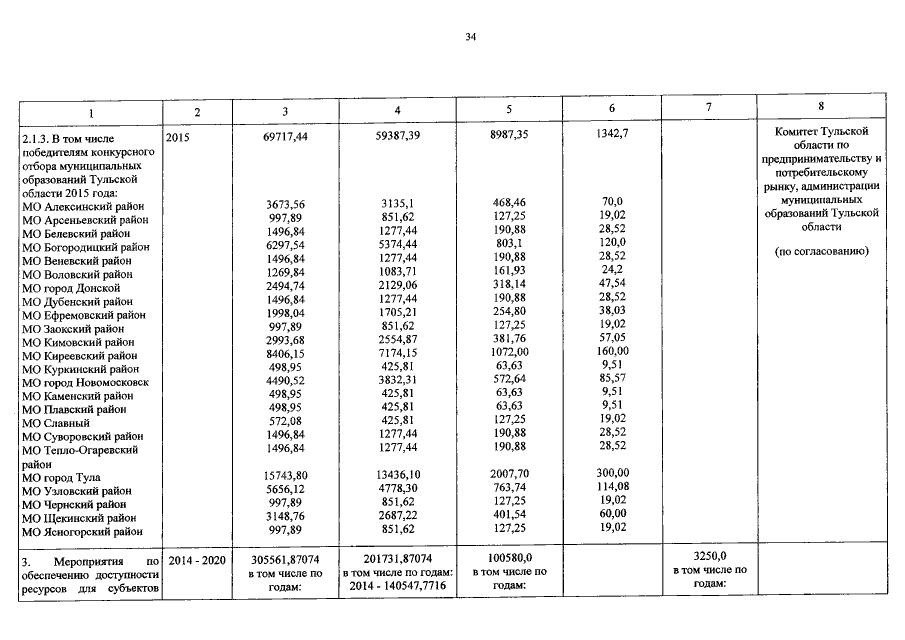
Постановление Правительства Тульской области от 03.03.2016 № 95
"О внесении изменений в постановление правительства Тульской области от 30.10.2013 № 602"
Номер опубликования: 7100201603100009
Дата опубликования: 10.03.2016
Страница №35 из 135:
Увеличить