Официальное опубликование правовых актов
ОФИЦИАЛЬНОЕ ОПУБЛИКОВАНИЕ
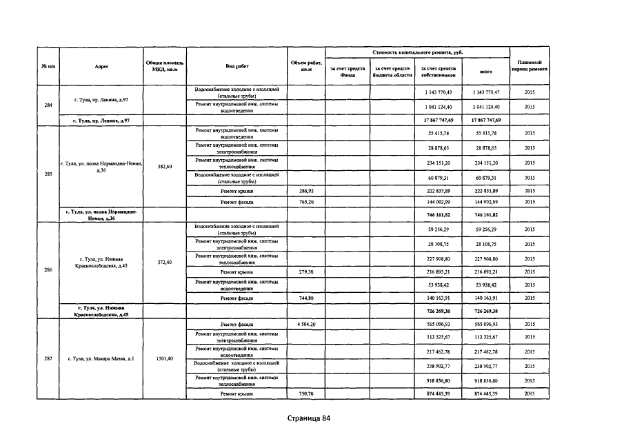
Постановление Правительства Тульской области от 23.11.2015 № 526
"О внесении изменения в постановление правительства Тульской области от 01.07.2014 № 309"
Номер опубликования: 7100201511260002
Дата опубликования: 26.11.2015
Страница №85 из 117:
Увеличить