Официальное опубликование правовых актов
ОФИЦИАЛЬНОЕ ОПУБЛИКОВАНИЕ
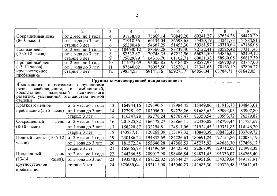
Постановление Правительства Тульской области от 22.10.2015 № 493
"О внесении изменений в постановление правительства Тульской области от 29.12.2014 № 719"
Номер опубликования: 7100201510280014
Дата опубликования: 28.10.2015
Страница №4 из 41:
Увеличить