Официальное опубликование правовых актов
ОФИЦИАЛЬНОЕ ОПУБЛИКОВАНИЕ
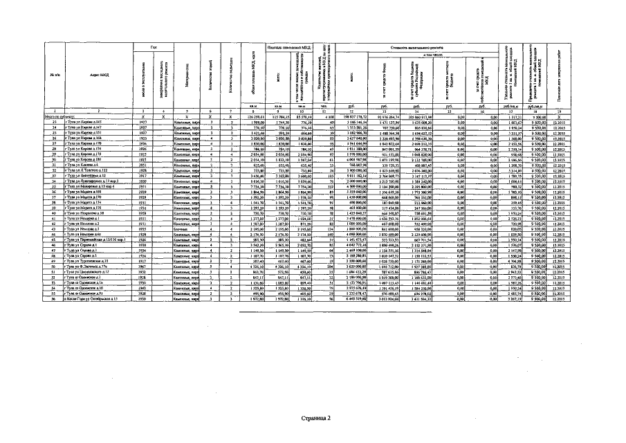
Постановление Правительства Тульской области от 25.09.2015 № 437
"О внесении изменений в постановление правительства Тульской области от 22.05.2014 № 261"
Номер опубликования: 7100201509280005
Дата опубликования: 28.09.2015
Страница №3 из 6:
Увеличить