Официальное опубликование правовых актов
ОФИЦИАЛЬНОЕ ОПУБЛИКОВАНИЕ
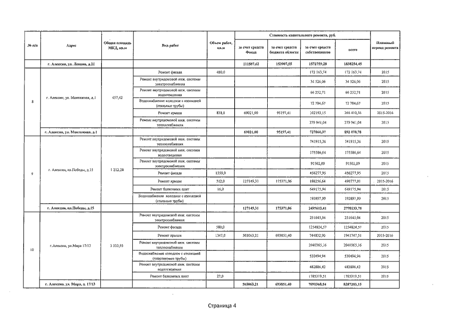
Постановление Правительства Тульской области от 19.03.2015 № 117
"О внесении изменения в постановление правительства Тульской области от 01.07.2014 № 309"
Номер опубликования: 7100201503200003
Дата опубликования: 20.03.2015
Страница №5 из 118:
Увеличить