Официальное опубликование правовых актов
ОФИЦИАЛЬНОЕ ОПУБЛИКОВАНИЕ
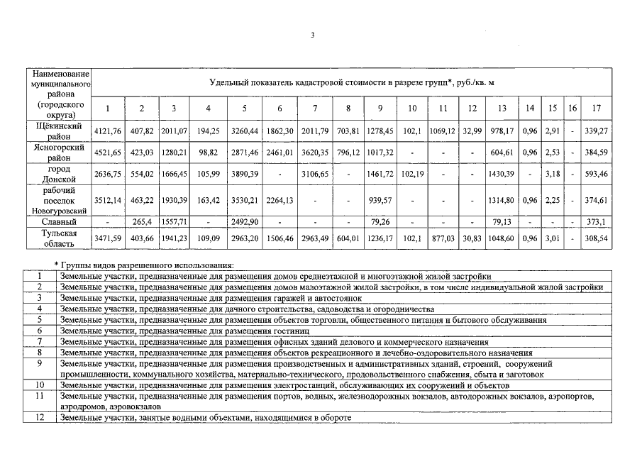
Постановление Правительства Тульской области от 11.12.2014 № 638
"О внесении изменений в постановление правительства Тульской области от 09.12.2013 № 740 "Об утверждении результатов определения кадастровой стоимости земельных участков в составе земель населенных пунктов Тульской области (за исключением земельных участков в составе земель населенных пунктов на территории города Тулы)"
Номер опубликования: 7100201412110002
Дата опубликования: 11.12.2014
Страница №6 из 7:
Увеличить