Официальное опубликование правовых актов
ОФИЦИАЛЬНОЕ ОПУБЛИКОВАНИЕ
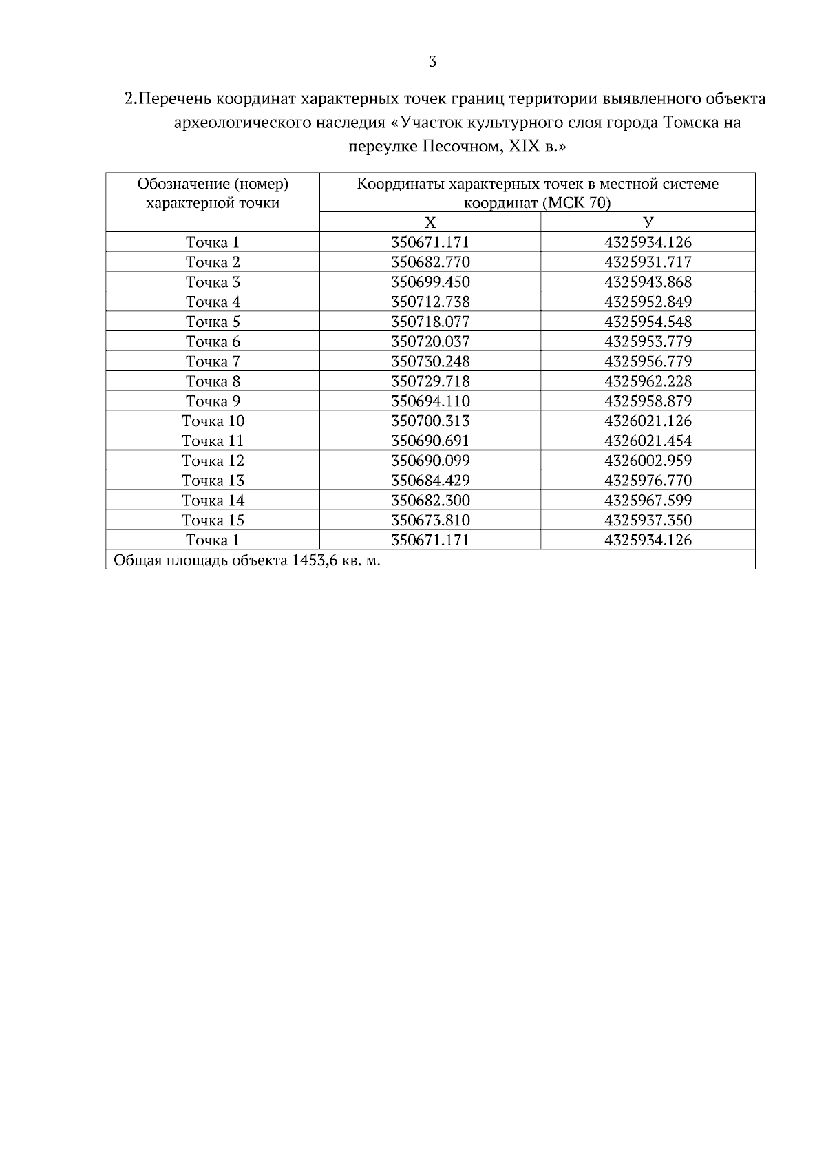
Приказ Комитета по охране объектов культурного наследия Томской области от 24.02.2026 № 0027/01-07
"О включении выявленного объекта археологического наследия "Участок культурного слоя города Томска на переулке Песочном, ХIХ в." в перечень выявленных объектов культурного наследия Томской области и об утверждении границ его территории"
(Зарегистрирован 24.02.2026 № 221-48/2026)
Номер опубликования: 7001202602250004
Дата опубликования: 25.02.2026
Страница №3 из 3:
Увеличить