Официальное опубликование правовых актов
ОФИЦИАЛЬНОЕ ОПУБЛИКОВАНИЕ
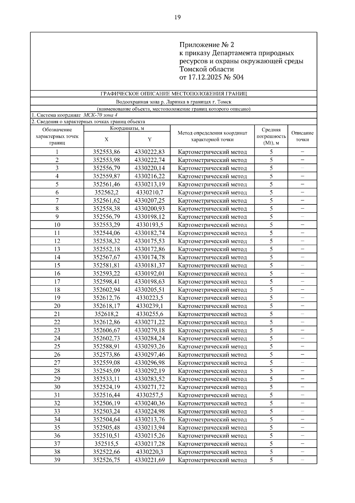
Приказ Департамента природных ресурсов и охраны окружающей среды Томской области от 17.12.2025 № 504
"Об установлении местоположения береговой линии (границы водного объекта), границ водоохранной зоны и границ прибрежной защитной полосы реки Ларинка в городе Томске"
(Зарегистрирован 17.12.2025 № 1732-63/2025)
Номер опубликования: 7001202512220010
Дата опубликования: 22.12.2025
Страница №19 из 78:
Увеличить