Приказ Департамента природных ресурсов и охраны окружающей среды Томской области от 11.12.2025 № 484
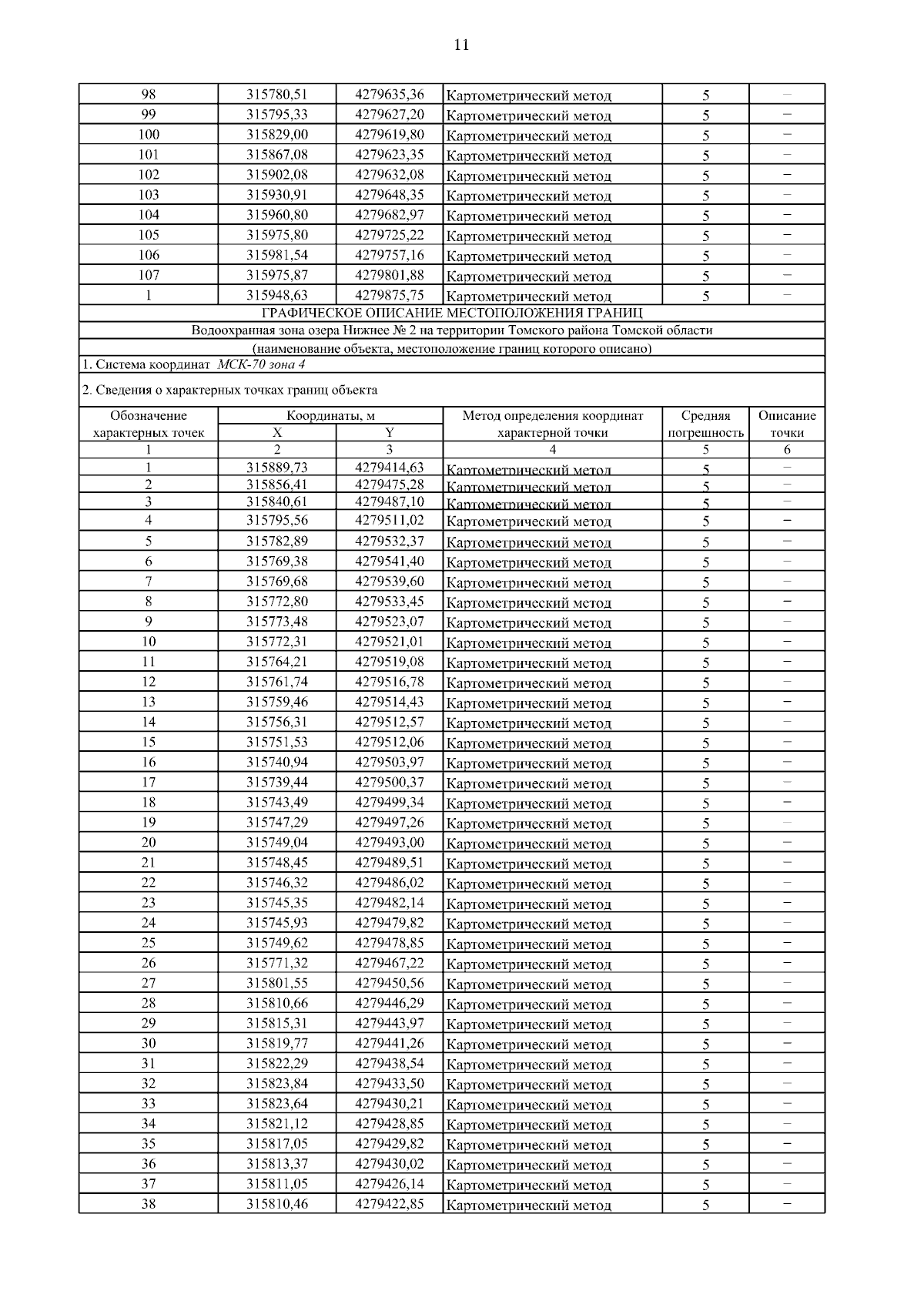
"Об установлении местоположения береговой линии (границы водного объекта), границ водоохранных зон и прибрежных защитных полос озера Нижнее № 1, озера Нижнее № 2 и ручья без названия, соединяющего озеро Нижнее № 1 и озеро Нижнее № 2, на территории Томского района Томской области"
(Зарегистрирован 12.12.2025 № 1618-63/2025)
"Об установлении местоположения береговой линии (границы водного объекта), границ водоохранных зон и прибрежных защитных полос озера Нижнее № 1, озера Нижнее № 2 и ручья без названия, соединяющего озеро Нижнее № 1 и озеро Нижнее № 2, на территории Томского района Томской области"
(Зарегистрирован 12.12.2025 № 1618-63/2025)
Номер опубликования: 7001202512160009
Дата опубликования:
16.12.2025
