Официальное опубликование правовых актов
ОФИЦИАЛЬНОЕ ОПУБЛИКОВАНИЕ
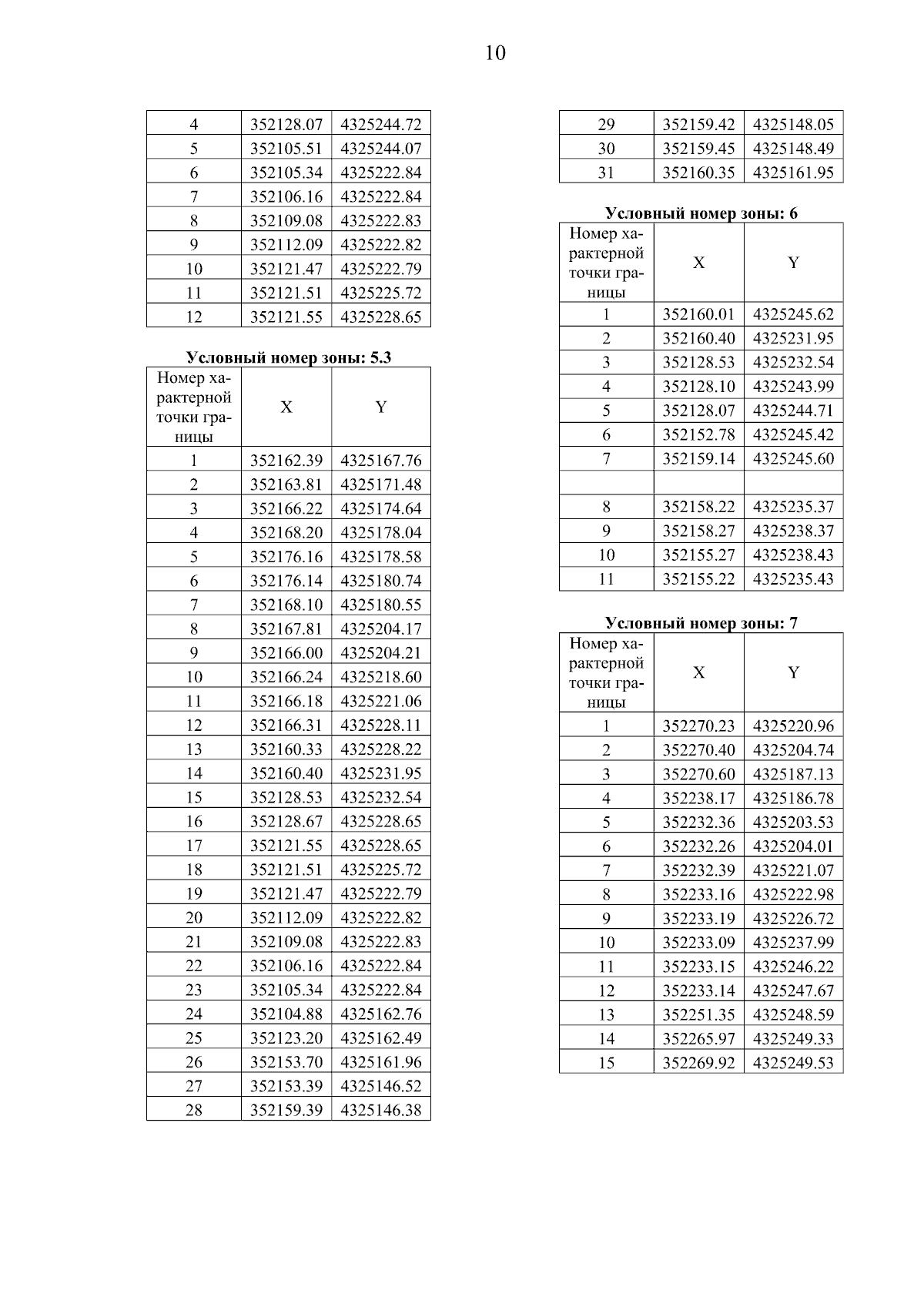
Приказ Департамента градостроительного развития Томской области от 03.12.2025 № 127
"Об утверждении изменений в проект планировки и проект межевания территории, ограниченной ул. Большая Подгорная, пер. Николая Островского, ул. Малая Подгорная, пер. Сакко в городе Томске и отмене отдельных частей проекта планировки и проекта межевания территории, ограниченной ул. Большая Подгорная, пер. Николая Островского, ул. Малая Подгорная, пер. Сакко в городе Томске"
(Зарегистрирован 04.12.2025 № 1395-91/2025)
Номер опубликования: 7001202512050003
Дата опубликования: 05.12.2025
Страница №10 из 16: