Официальное опубликование правовых актов
ОФИЦИАЛЬНОЕ ОПУБЛИКОВАНИЕ
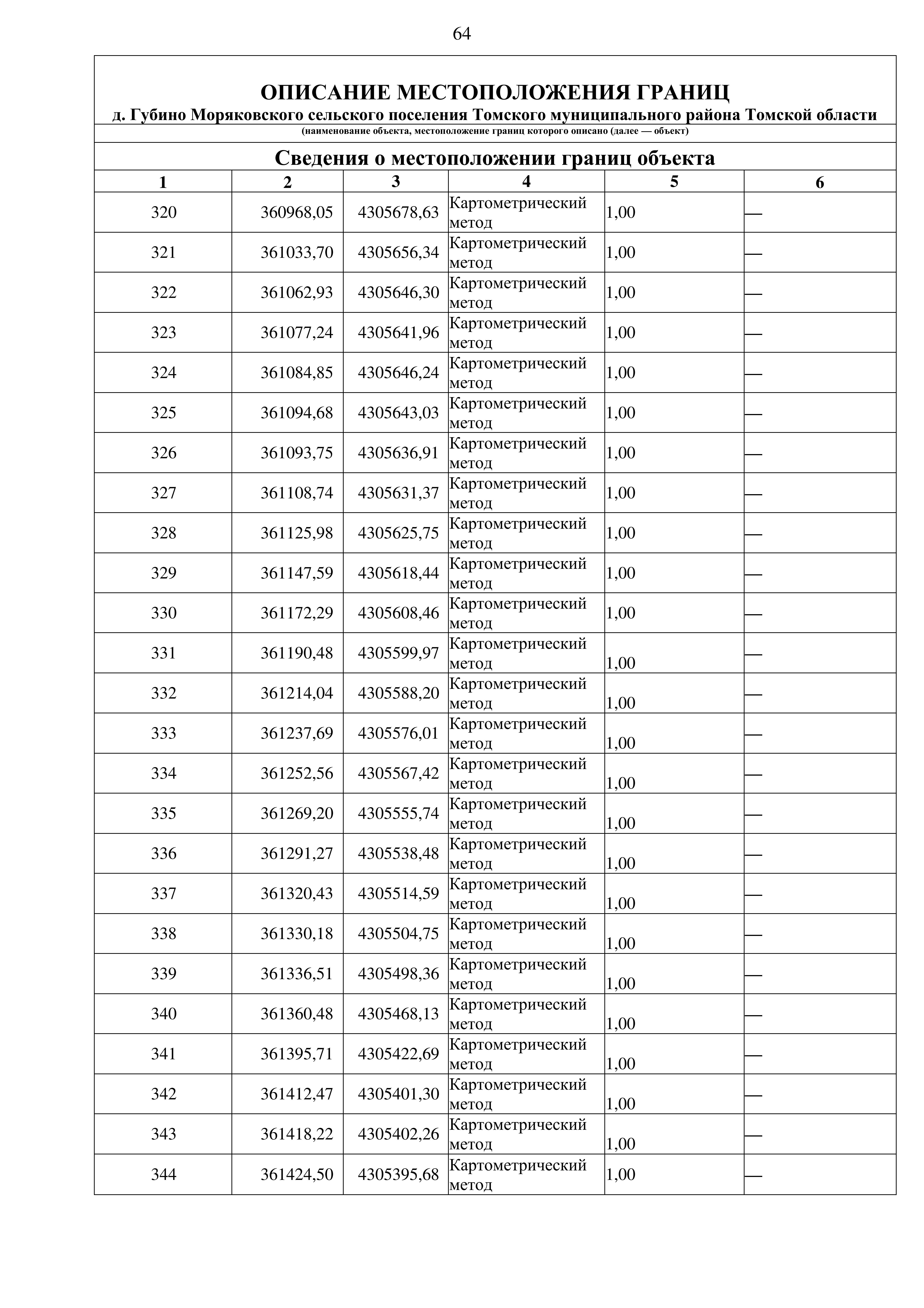
Приказ Департамента градостроительного развития Томской области от 01.11.2025 № 107
"О внесении изменений в Генеральный план и Правила землепользования и застройки муниципального образования "Моряковское сельское поселение Томского муниципального района Томской области"
(Зарегистрирован 05.11.2025 № 1261-91/2025)
Номер опубликования: 7001202511060003
Дата опубликования: 06.11.2025
Страница №64 из 769: