Официальное опубликование правовых актов
ОФИЦИАЛЬНОЕ ОПУБЛИКОВАНИЕ
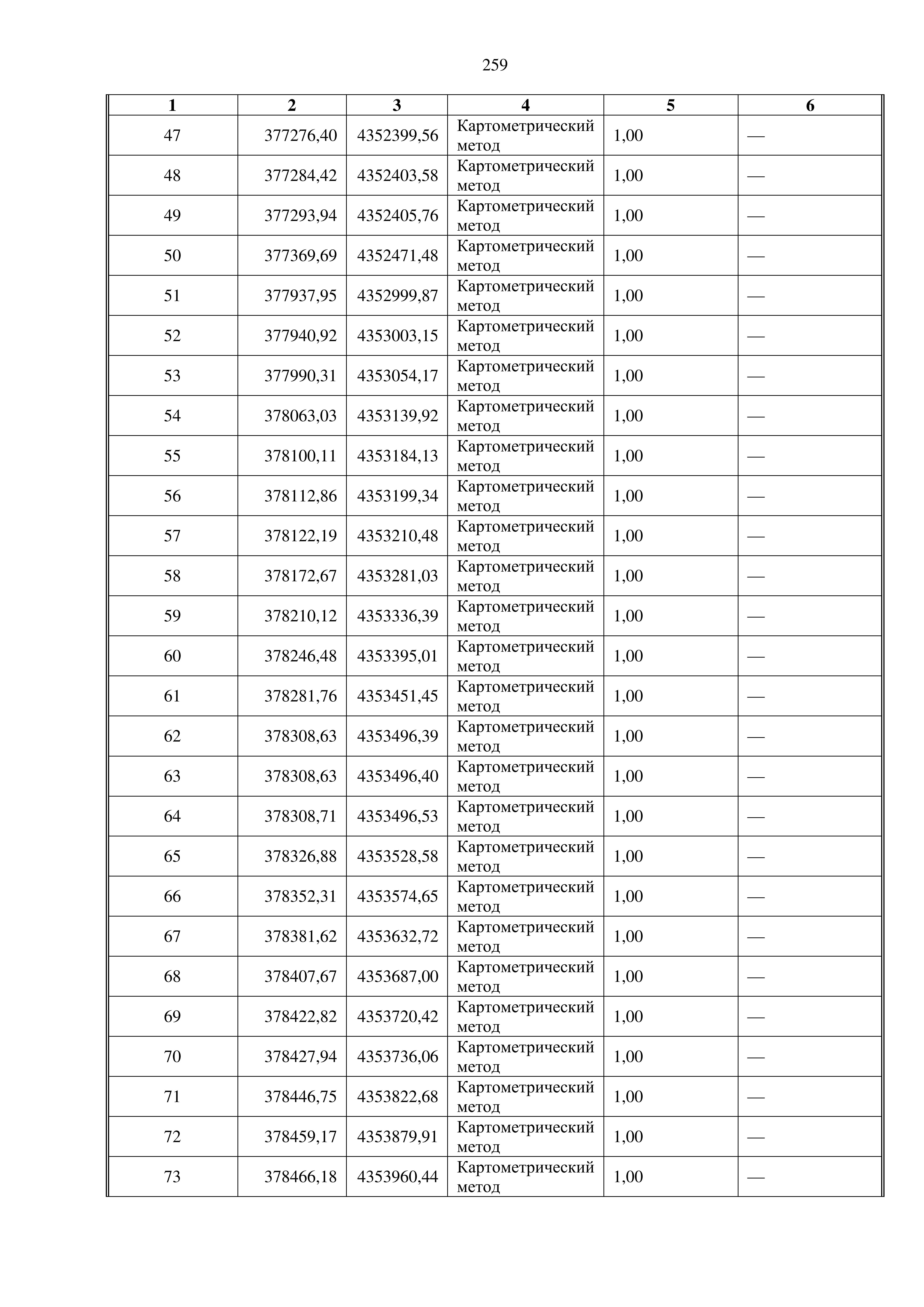
Приказ Департамента градостроительного развития Томской области от 21.10.2025 № 99
"О внесении изменений в Генеральный план и Правила землепользования и застройки муниципального образования "Октябрьское сельское поселение Томского муниципального района Томской области"
(Зарегистрирован 23.10.2025 № 1211-91/2025)
Номер опубликования: 7001202510270010
Дата опубликования: 27.10.2025
Страница №259 из 342: