Официальное опубликование правовых актов
ОФИЦИАЛЬНОЕ ОПУБЛИКОВАНИЕ
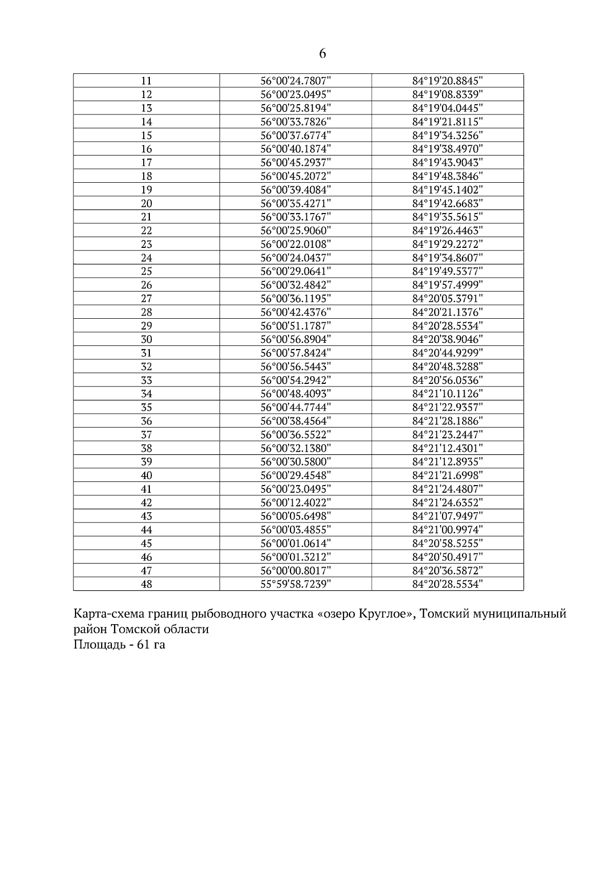
Приказ Департамента охотничьего и рыбного хозяйства Томской области от 14.10.2025 № 037-од
"Об определении границ рыбоводных участков в Томском муниципальном районе Томской области"
(Зарегистрирован 15.10.2025 № 1185-75/2025)
Номер опубликования: 7001202510160005
Дата опубликования: 16.10.2025
Страница №6 из 7:
Увеличить