Официальное опубликование правовых актов
ОФИЦИАЛЬНОЕ ОПУБЛИКОВАНИЕ
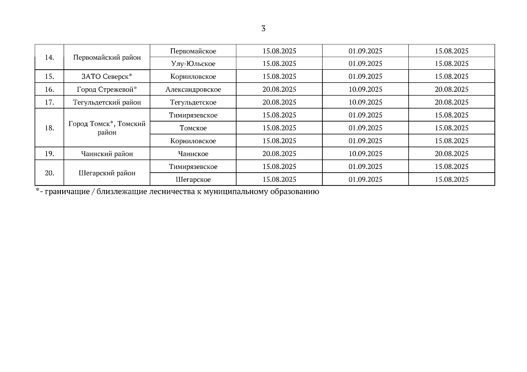
Приказ Департамента лесного хозяйства Томской области от 09.07.2025 № 56
"Об определении сроков заготовки гражданами отдельных видов пищевых лесных ресурсов для собственных нужд на территории Томской области в 2025 году"
(Зарегистрирован 11.07.2025 № 772-74/2025)
Номер опубликования: 7001202507150005
Дата опубликования: 15.07.2025
Страница №3 из 3:
Увеличить