Официальное опубликование правовых актов
ОФИЦИАЛЬНОЕ ОПУБЛИКОВАНИЕ
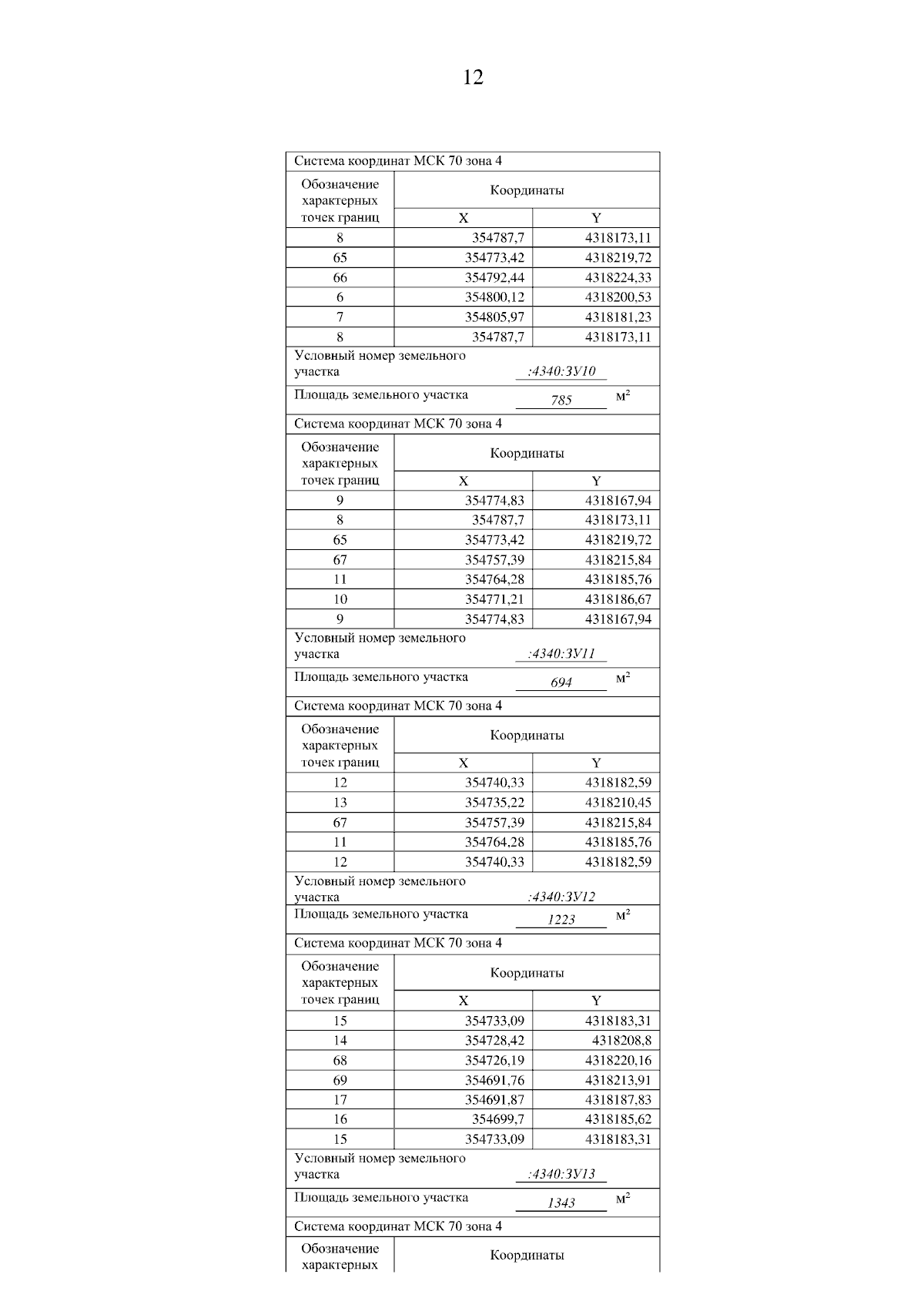
Приказ Департамента градостроительного развития Томской области от 10.06.2025 № 47
"Об утверждении проекта межевания территории товарищества собственников недвижимости садового некоммерческого товарищества "Калинка"
(Зарегистрирован 10.06.2025 № 658-91/2025)
Номер опубликования: 7001202506170002
Дата опубликования: 17.06.2025
Страница №12 из 14:
Увеличить