Официальное опубликование правовых актов
ОФИЦИАЛЬНОЕ ОПУБЛИКОВАНИЕ
Приказ Департамента ЖКХ и государственного жилищного надзора Томской области от 20.05.2025 № 15
"О внесении изменения в приказ Департамента ЖКХ и государственного жилищного надзора Томской области от 16.06.2022 № 40"
(Зарегистрирован 21.05.2025 № 555-71/2025)
Номер опубликования: 7001202505220002
Дата опубликования: 22.05.2025
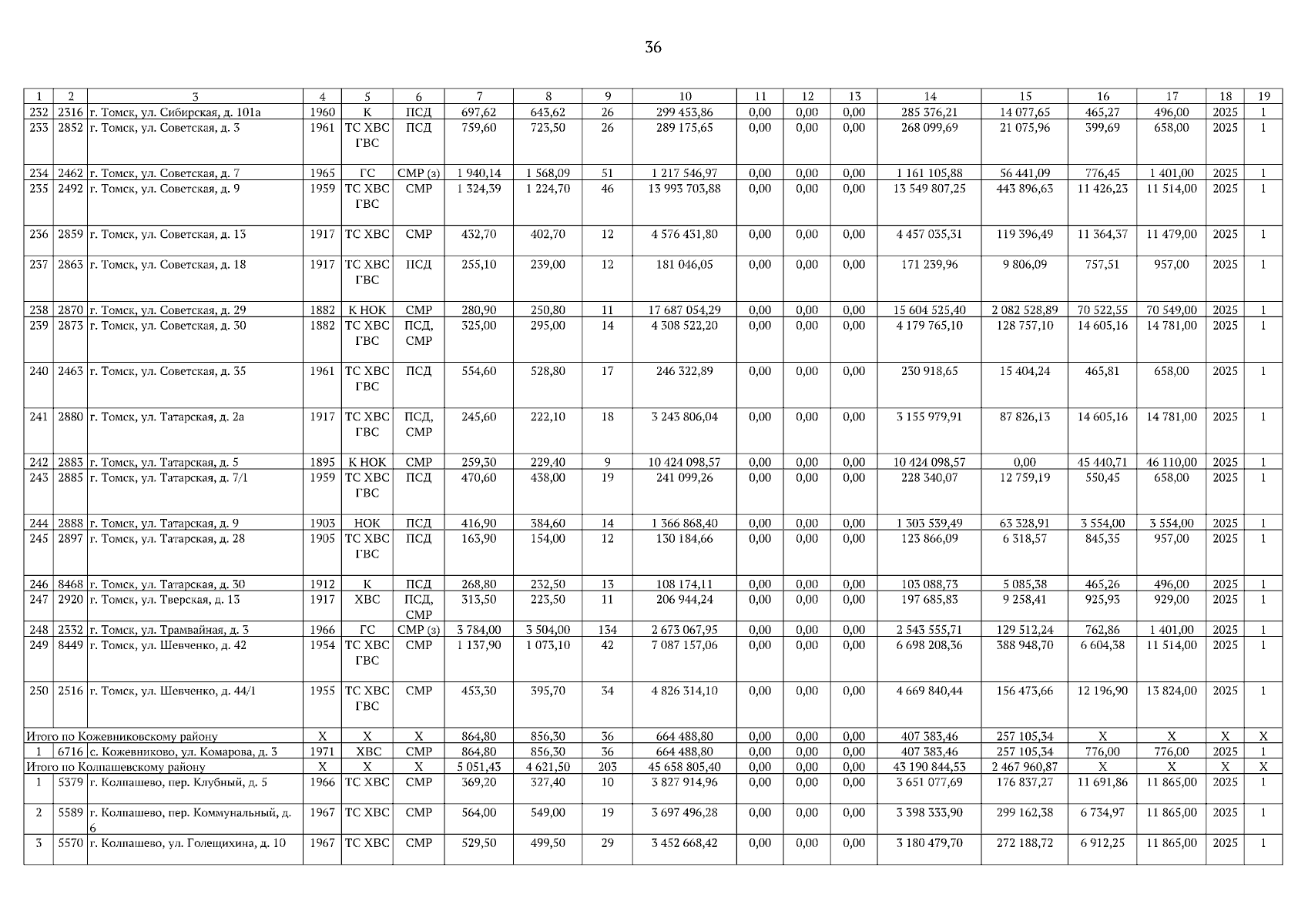
Страница №36 из 174:
Увеличить