Официальное опубликование правовых актов
ОФИЦИАЛЬНОЕ ОПУБЛИКОВАНИЕ
Приказ Департамента природных ресурсов и охраны окружающей среды Томской области от 07.04.2025 № 124
"О внесении изменений в приказ Департамента природных ресурсов и охраны окружающей среды Томской области от 22.11.2024 № 170"
(Зарегистрирован 08.04.2025 № 388-63/2025)
Номер опубликования: 7001202504100002
Дата опубликования: 10.04.2025
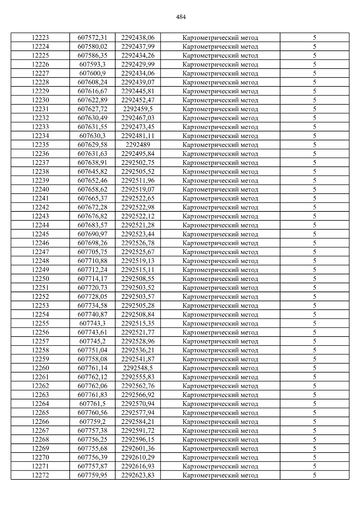
Страница №484 из 537:
Увеличить