Официальное опубликование правовых актов
ОФИЦИАЛЬНОЕ ОПУБЛИКОВАНИЕ
Приказ Департамента градостроительного развития Томской области от 07.11.2024 № 49
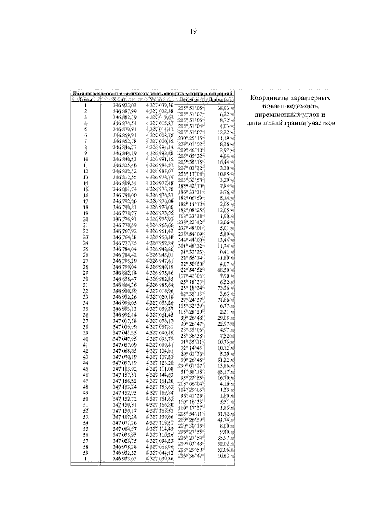
"Об утверждении изменений в проект планировки и проект межевания территории, ограниченной ул. Мокрушина, улицей Нефтяной, границей земельного участка с кадастровым № 70:21:0200027:179 по адресу: ул. Нефтяная, 15, границей территориальной зоны ОЖ в городе Томске, утвержденные постановлением администрации Города Томска от 06.12.2018 № 475-з"
(Зарегистрирован 08.11.2024 № 1406-91/2024)
Номер опубликования: 7001202411130004
Дата опубликования: 13.11.2024
Страница №19 из 27:
Увеличить