Официальное опубликование правовых актов
ОФИЦИАЛЬНОЕ ОПУБЛИКОВАНИЕ
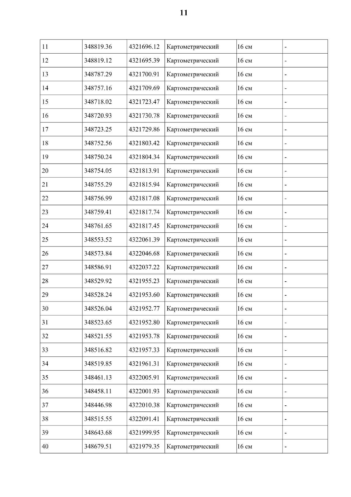
Приказ Департамента градостроительного развития Томской области от 09.10.2024 № 37
"О внесении изменений в Генеральный план и Правила землепользования и застройки муниципального образования "Заречное сельское поселение" Томского района Томской области"
(Зарегистрирован 14.10.2024 № 1298-91/2024)
Номер опубликования: 7001202410160002
Дата опубликования: 16.10.2024
Страница №11 из 78:
Увеличить