Официальное опубликование правовых актов
ОФИЦИАЛЬНОЕ ОПУБЛИКОВАНИЕ
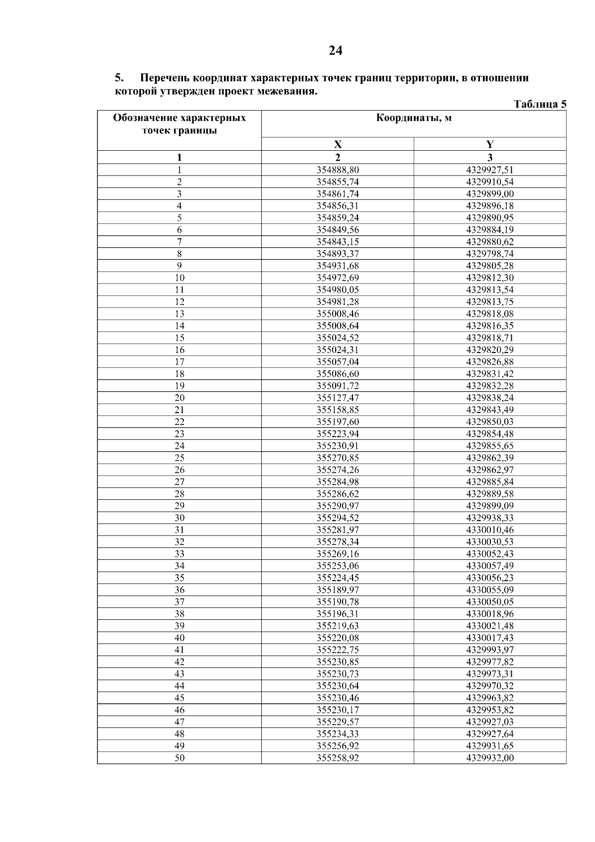
Приказ Департамента градостроительного развития Томской области от 30.08.2024 № 24
"Об утверждении изменений в проект межевания территории применительно к застроенной территории в границах территориальной зоны застройки малоэтажными и среднеэтажными жилыми домами (Ж-2), определенной Правилами землепользования и застройки муниципального образования "Город Томск", утвержденный постановлением администрации Города Томска от 27.12.2022 № 527-з"
(Зарегистрирован 30.08.2024 № 1086-91/2024)
Номер опубликования: 7001202409020001
Дата опубликования: 02.09.2024
Страница №24 из 25:
Увеличить