Официальное опубликование правовых актов
ОФИЦИАЛЬНОЕ ОПУБЛИКОВАНИЕ
Приказ Департамента тарифного регулирования Томской области от 30.08.2024 № 1-178
"О внесении изменений в приказ Департамента тарифного регулирования Томской области от 20.12.2023 № 1-141/9(548)"
(Зарегистрирован 30.08.2024 № 1078-53/2024)
Номер опубликования: 7001202408300009
Дата опубликования: 30.08.2024
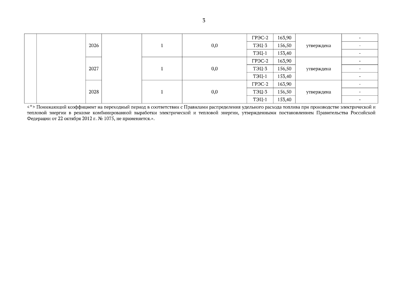
Страница №3 из 4:
Увеличить