Официальное опубликование правовых актов
ОФИЦИАЛЬНОЕ ОПУБЛИКОВАНИЕ
Приказ Департамента ЖКХ и государственного жилищного надзора Томской области от 25.04.2024 № 22
"О внесении изменения в приказ Департамента ЖКХ и государственного жилищного надзора Томской области от 16.06.2022 № 40"
(Зарегистрирован 26.04.2024 № 541-71/2024)
Номер опубликования: 7001202404260001
Дата опубликования: 26.04.2024
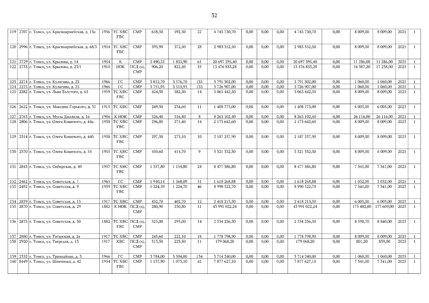
Страница №32 из 163:
Увеличить