Официальное опубликование правовых актов
ОФИЦИАЛЬНОЕ ОПУБЛИКОВАНИЕ
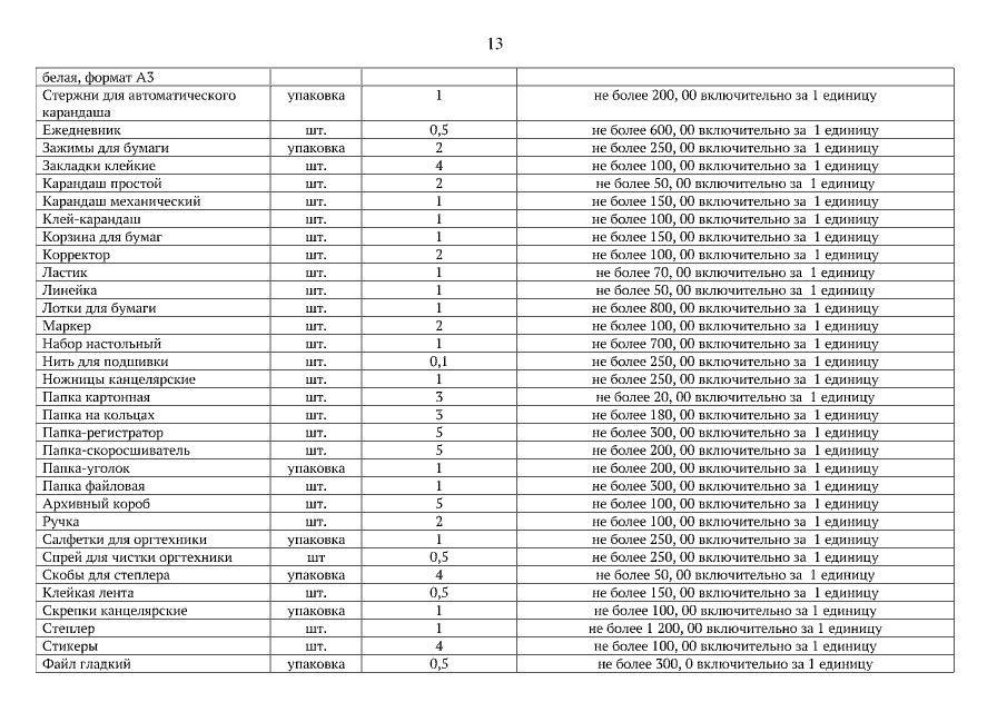
Приказ Департамента профессионального образования Томской области от 22.05.2020 № 5п
"О внесении изменения в приказ Департамента профессионального образования Томской области от 29.03.2016 № 7п"
Номер опубликования: 7001202005250003
Дата опубликования: 25.05.2020
Страница №13 из 14:
Увеличить