Официальное опубликование правовых актов
ОФИЦИАЛЬНОЕ ОПУБЛИКОВАНИЕ
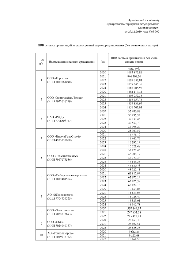
Приказ Департамента тарифного регулирования Томской области от 27.12.2019 № 6-792
"О долгосрочных параметрах регулирования и необходимой валовой выручке для территориальных сетевых организаций, в отношении которых тарифы на услуги по передаче электрической энергии устанавливаются на основе долгосрочных параметров регулирования деятельности территориальных сетевых организаций"
Номер опубликования: 7001201912300001
Дата опубликования: 30.12.2019
Страница №3 из 3:
Увеличить