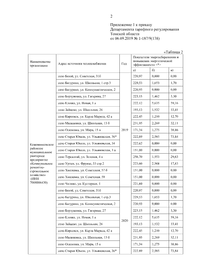
Приказ Департамента тарифного регулирования Томской области от 06.09.2019 № 1-187/9(138)
"О корректировке тарифов теплоснабжающей организации Кожевниковское районное муниципальное унитарное предприятие "Коммунальное ремонтно-строительное хозяйство" (ИНН 7008006430) на 2020 год и внесении изменений в приказ от 23.10.2018 №1-170/9(204)"
"О корректировке тарифов теплоснабжающей организации Кожевниковское районное муниципальное унитарное предприятие "Коммунальное ремонтно-строительное хозяйство" (ИНН 7008006430) на 2020 год и внесении изменений в приказ от 23.10.2018 №1-170/9(204)"
Номер опубликования: 7001201909100001
Дата опубликования:
10.09.2019
