Официальное опубликование правовых актов
ОФИЦИАЛЬНОЕ ОПУБЛИКОВАНИЕ
Приказ Департамента здравоохранения Томской области от 11.02.2019 № 4
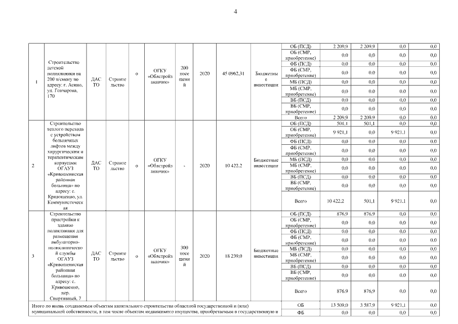
"Об утверждении решения о подготовке и реализации бюджетных инвестиций в объекты капитального строительства государственной собственности Томской области и приобретении объектов недвижимого имущества в государственную собственность Томской области, о предоставлении субсидий областным государственным и автономным учреждениям на осуществление капитальных вложений в объекты капитального строительства государственной собственности Томской области и приобретение объектов недвижимого имущества в государственную собственность Томской области и об определении объектов муниципальной собственности для предоставления субсидии местным бюджетам на софинансирование капитальных вложений в объекты муниципальной собственности"
Номер опубликования: 7001201902110002
Дата опубликования: 11.02.2019
Страница №4 из 5:
Увеличить