Официальное опубликование правовых актов
ОФИЦИАЛЬНОЕ ОПУБЛИКОВАНИЕ
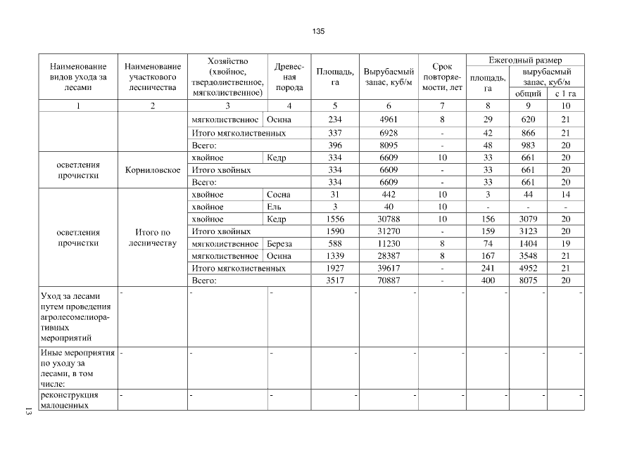
Приказ Департамента лесного хозяйства Томской области от 13.11.2018 № 45
"О внесении изменения в лесохозяйственный регламент Корниловского лесничества Томской области"
Номер опубликования: 7001201811160006
Дата опубликования: 16.11.2018
Страница №135 из 220:
Увеличить