Официальное опубликование правовых актов
ОФИЦИАЛЬНОЕ ОПУБЛИКОВАНИЕ
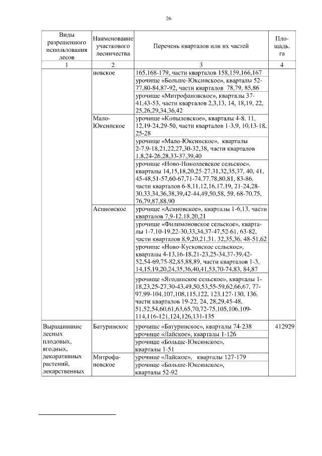
Приказ Департамента лесного хозяйства Томской области от 13.11.2018 № 37
"О внесении изменения в лесохозяйственный регламент Асиновского лесничества Томской области"
Номер опубликования: 7001201811160001
Дата опубликования: 16.11.2018
Страница №26 из 214:
Увеличить