Официальное опубликование правовых актов
ОФИЦИАЛЬНОЕ ОПУБЛИКОВАНИЕ
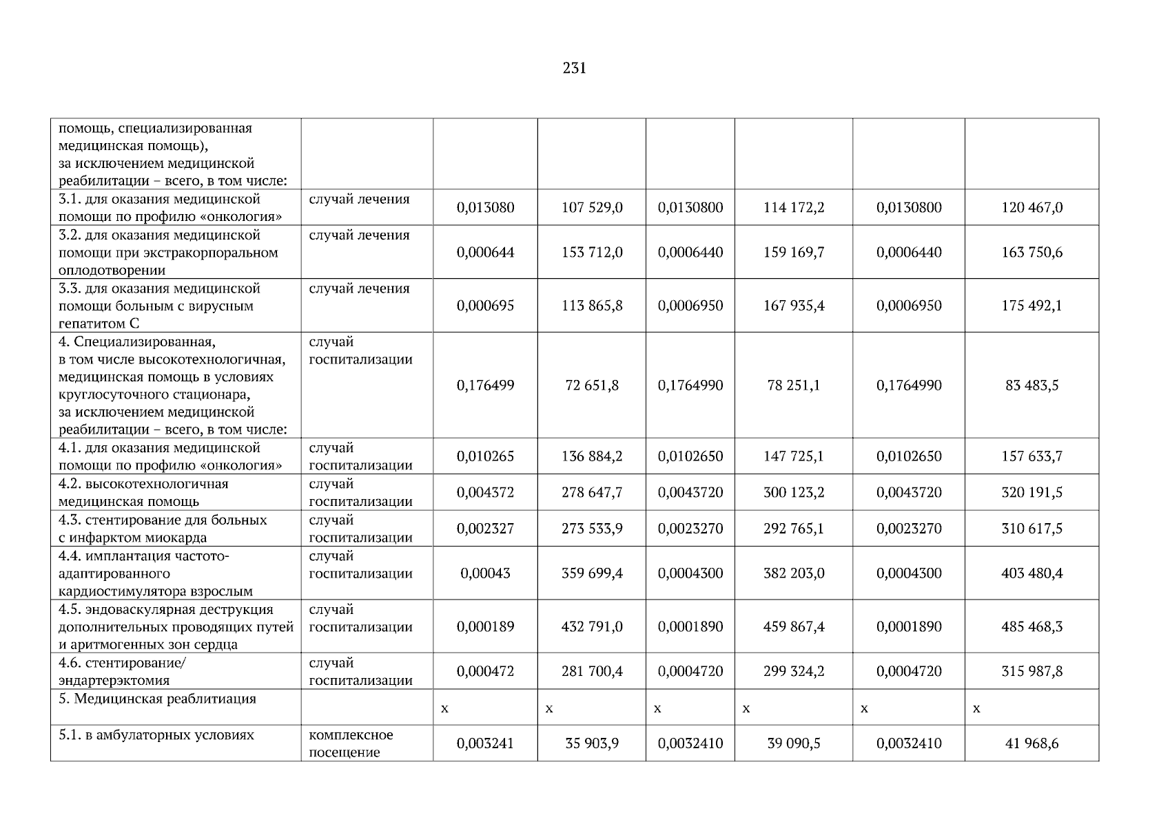
Постановление Администрации Томской области от 06.02.2025 № 34а
"Об утверждении областной Программы государственных гарантий бесплатного оказания гражданам медицинской помощи на территории Томской области на 2025 год и на плановый период 2026 и 2027 годов"
Номер опубликования: 7000202502100001
Дата опубликования: 10.02.2025
Страница №232 из 236:
Увеличить