Официальное опубликование правовых актов
ОФИЦИАЛЬНОЕ ОПУБЛИКОВАНИЕ
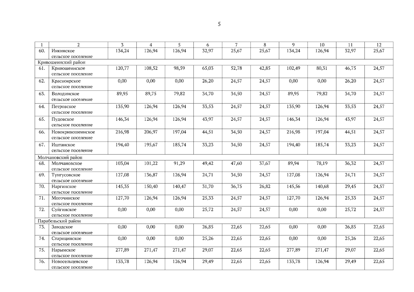
Постановление Администрации Томской области от 14.08.2024 № 345а
"О внесении изменений в постановление Администрации Томской области от 27.11.2014 № 439а"
Номер опубликования: 7000202408190003
Дата опубликования: 19.08.2024
Страница №24 из 62:
Увеличить