Официальное опубликование правовых актов
ОФИЦИАЛЬНОЕ ОПУБЛИКОВАНИЕ
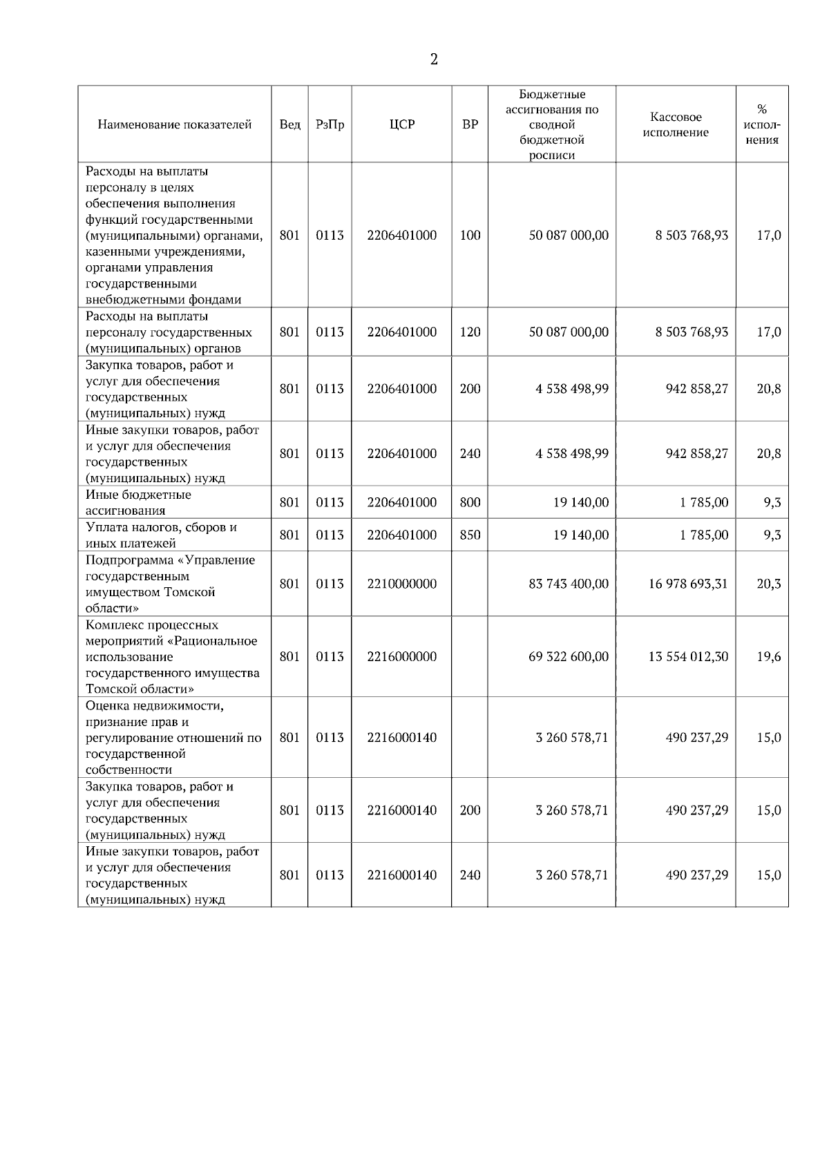
Постановление Администрации Томской области от 26.04.2024 № 157а
"Об утверждении отчета об исполнении областного бюджета за 1-й квартал 2024 года"
Номер опубликования: 7000202405020001
Дата опубликования: 02.05.2024
Страница №6 из 486:
Увеличить