Официальное опубликование правовых актов
ОФИЦИАЛЬНОЕ ОПУБЛИКОВАНИЕ
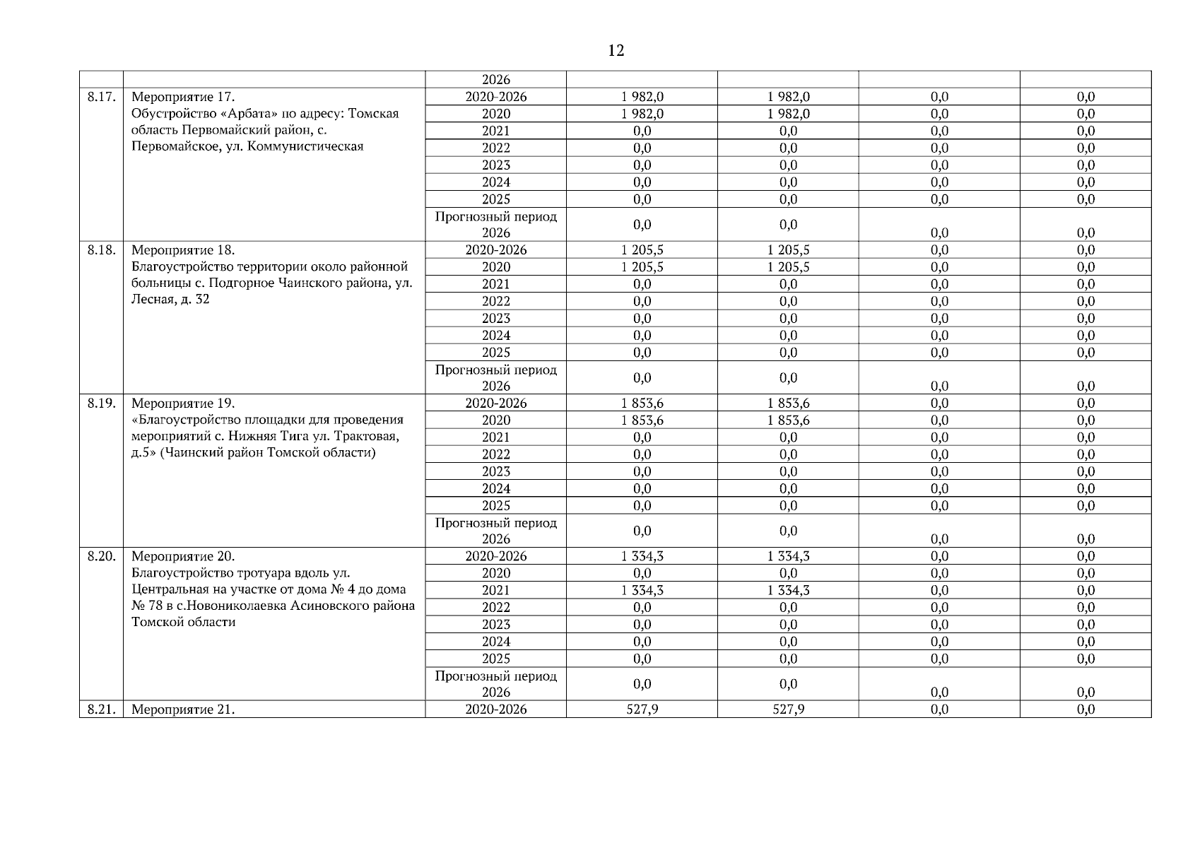
Постановление Администрации Томской области от 28.12.2023 № 651а
"О внесении изменений в постановление Администрации Томской области от 27.09.2019 № 358а"
Номер опубликования: 7000202312300005
Дата опубликования: 30.12.2023
Страница №16 из 96:
Увеличить