Официальное опубликование правовых актов
ОФИЦИАЛЬНОЕ ОПУБЛИКОВАНИЕ
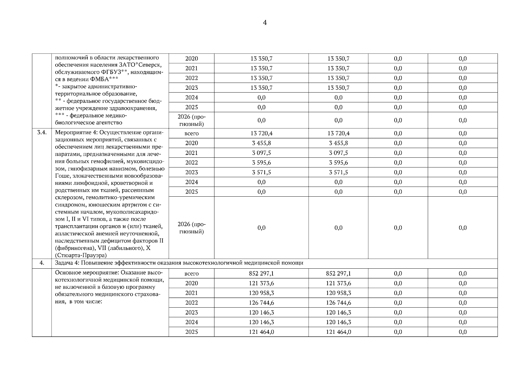
Постановление Администрации Томской области от 28.12.2023 № 652а
"О внесении изменений в постановление Администрации Томской области от 27.09.2019 № 353а"
Номер опубликования: 7000202312300004
Дата опубликования: 30.12.2023
Страница №8 из 353:
Увеличить