Официальное опубликование правовых актов
ОФИЦИАЛЬНОЕ ОПУБЛИКОВАНИЕ
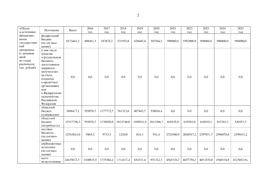
Постановление Администрации Томской области от 09.08.2018 № 317а
"О внесении изменений в постановление Администрации Томской области от 22.03.2016 № 79а"
Номер опубликования: 7000201808140002
Дата опубликования: 14.08.2018
Страница №2 из 12:
Увеличить