Официальное опубликование правовых актов
ОФИЦИАЛЬНОЕ ОПУБЛИКОВАНИЕ
Постановление Администрации Томской области от 12.04.2018 № 167а
"О внесении изменения в постановление Администрации Томской области от 02.12.2014 № 448а"
Номер опубликования: 7000201804160001
Дата опубликования: 16.04.2018
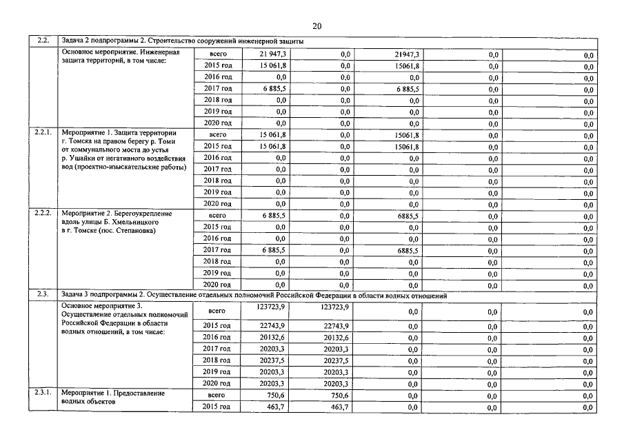
Страница №21 из 110:
Увеличить