Официальное опубликование правовых актов
ОФИЦИАЛЬНОЕ ОПУБЛИКОВАНИЕ
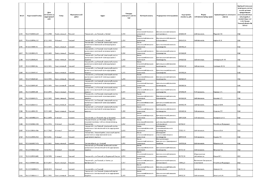
Постановление Администрации Томской области от 11.08.2017 № 295а
"Об утверждении Перечня особо ценных продуктивных сельскохозяйственных угодий Томской области, использование которых для целей, не связанных с ведением сельского хозяйства, не допускается, за исключением случаев, установленных федеральным законодательством"
Номер опубликования: 7000201708160002
Дата опубликования: 16.08.2017
Страница №62 из 76:
Увеличить