Официальное опубликование правовых актов
ОФИЦИАЛЬНОЕ ОПУБЛИКОВАНИЕ
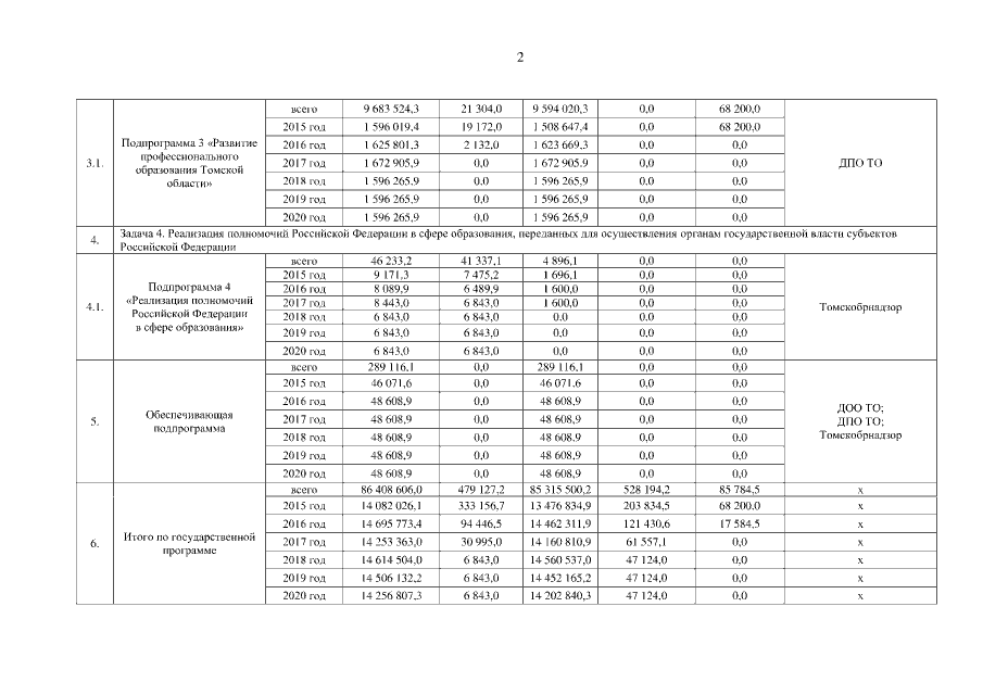
Постановление Администрации Томской области от 24.05.2017 № 197а
"О внесении изменений в постановление Администрации Томской области от 30.10.2014 № 413а"
Номер опубликования: 7000201705290001
Дата опубликования: 29.05.2017
Страница №12 из 82:
Увеличить