Официальное опубликование правовых актов
ОФИЦИАЛЬНОЕ ОПУБЛИКОВАНИЕ
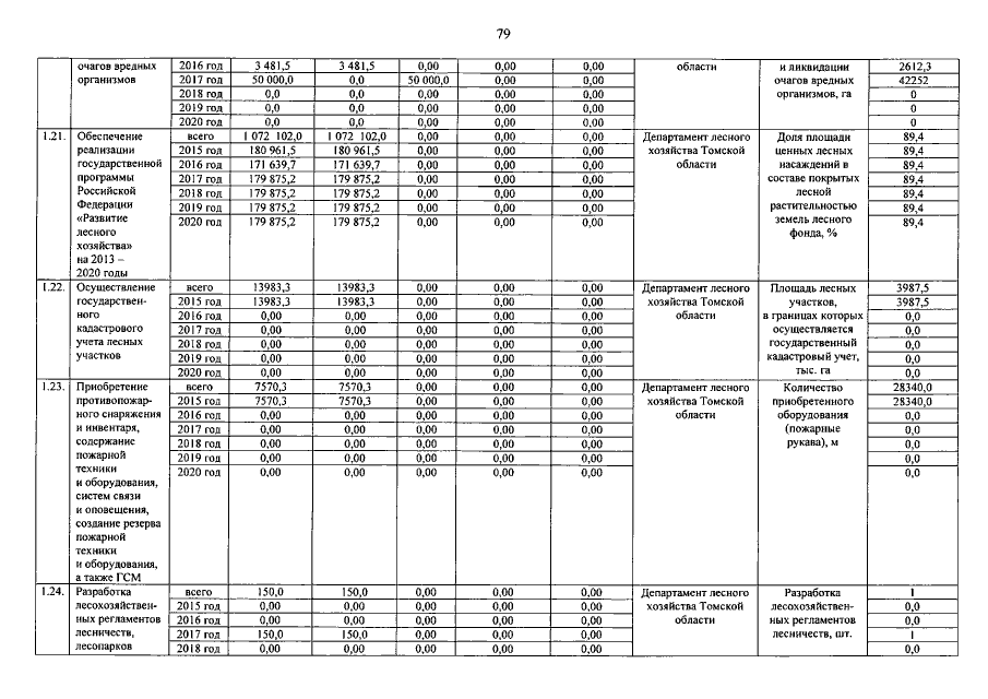
Постановление Администрации Томской области от 03.05.2017 № 177а
"О внесении изменения в постановление Администрации Томской области от 02.12.2014 № 448а"
Номер опубликования: 7000201705100001
Дата опубликования: 10.05.2017
Страница №80 из 104:
Увеличить