Официальное опубликование правовых актов
ОФИЦИАЛЬНОЕ ОПУБЛИКОВАНИЕ
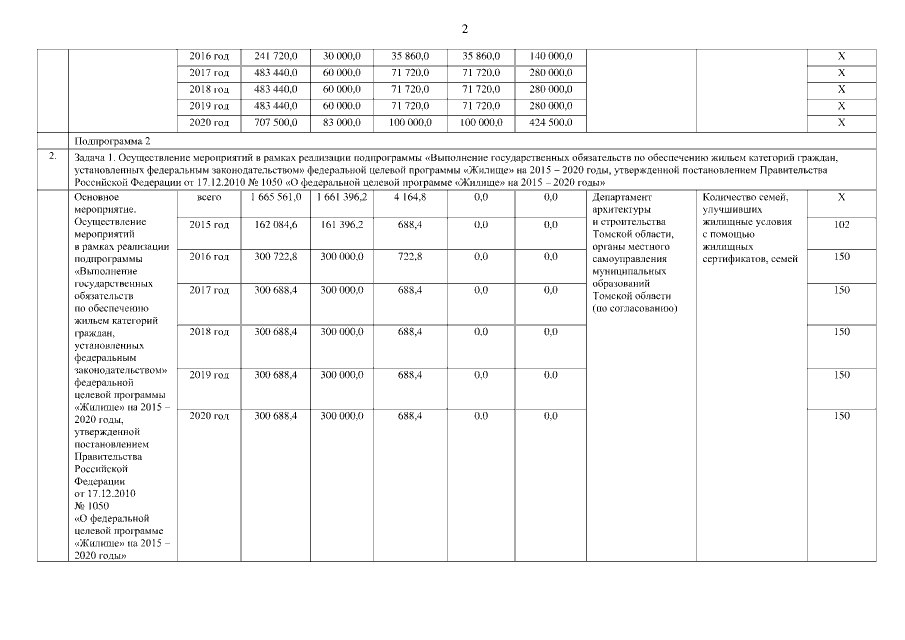
Постановление Администрации Томской области от 22.12.2015 № 466а
"О внесении изменений в постановление Администрации Томской области от 12.12.2014 № 490а"
Номер опубликования: 7000201512280013
Дата опубликования: 28.12.2015
Страница №33 из 42:
Увеличить