Официальное опубликование правовых актов
ОФИЦИАЛЬНОЕ ОПУБЛИКОВАНИЕ
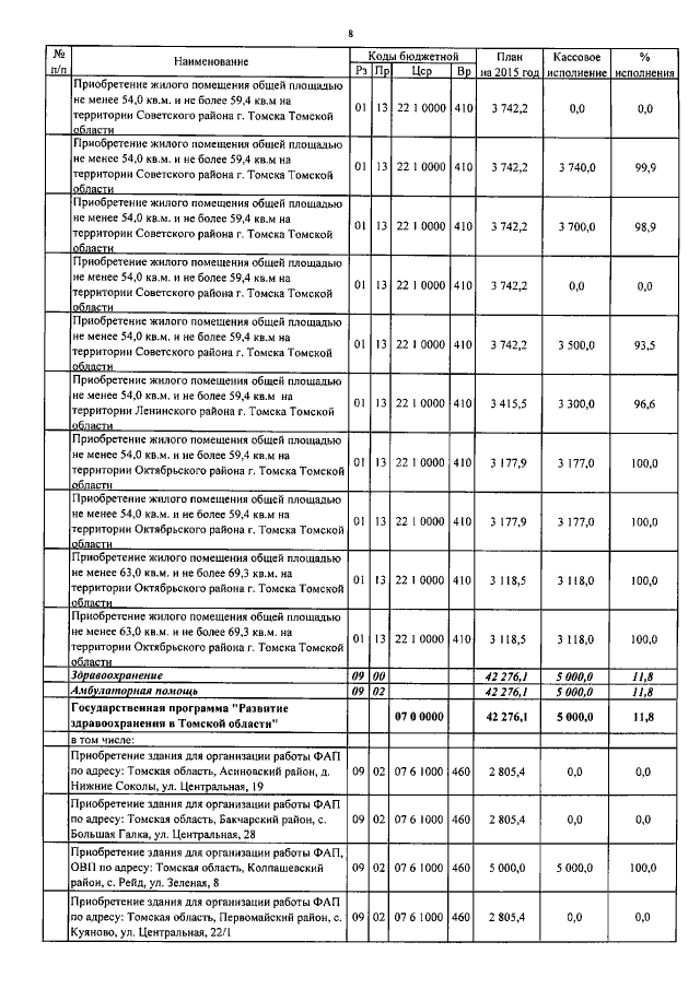
Постановление Администрации Томской области от 12.11.2015 № 403а
"Об утверждении отчета об исполнении областного бюджета за 9 месяцев 2015 года"
Номер опубликования: 7000201511190002
Дата опубликования: 19.11.2015
Страница №213 из 308:
Увеличить