Официальное опубликование правовых актов
ОФИЦИАЛЬНОЕ ОПУБЛИКОВАНИЕ
Приказ Министерства природных ресурсов и экологии Тверской области от 08.12.2025 № 39-нп
"Об установлении зоны санитарной охраны"
(Зарегистрирован 09.12.2025 № 4732507)
Номер опубликования: 6901202512100007
Дата опубликования: 10.12.2025
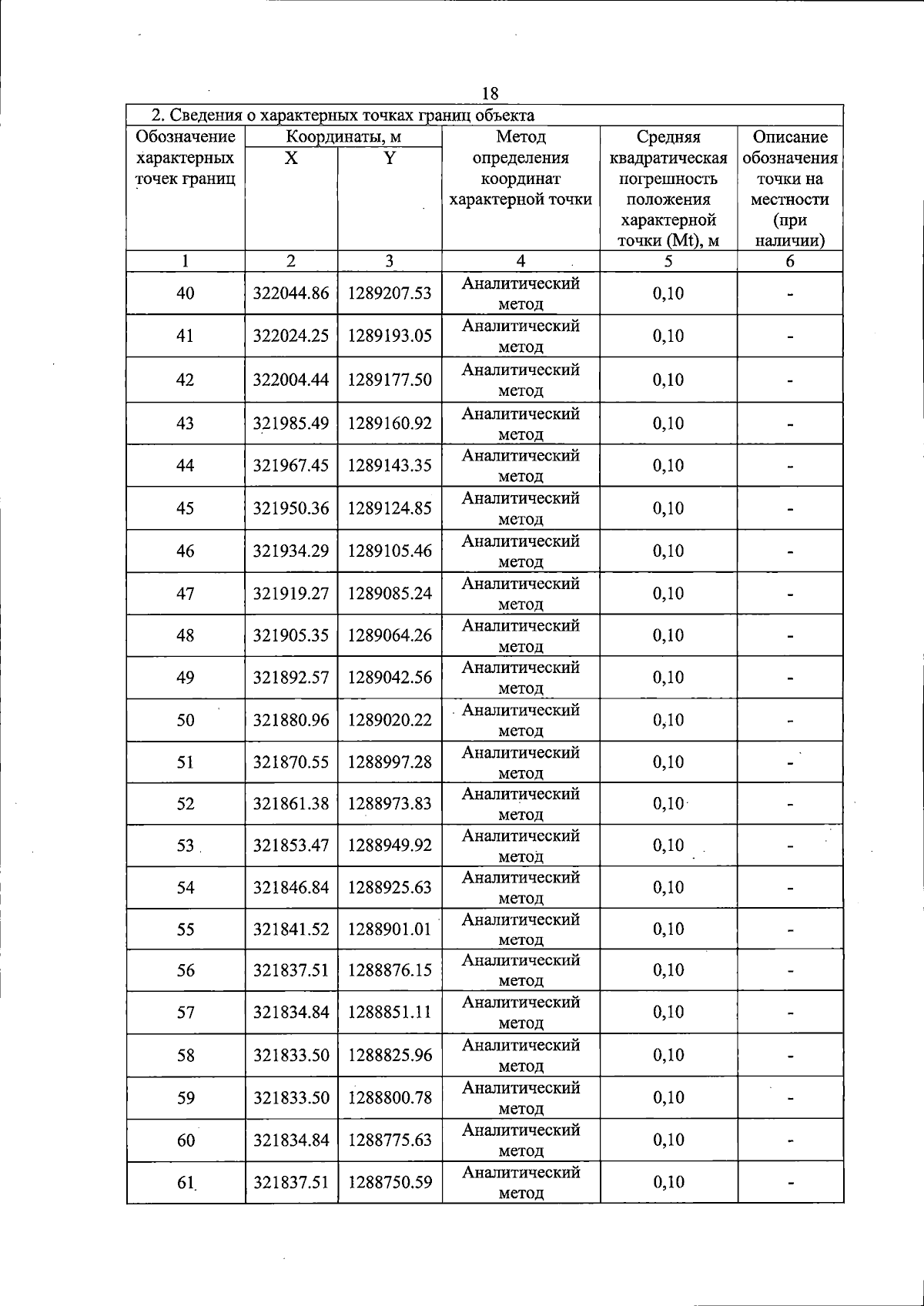
Страница №18 из 22:
Увеличить