Официальное опубликование правовых актов
ОФИЦИАЛЬНОЕ ОПУБЛИКОВАНИЕ
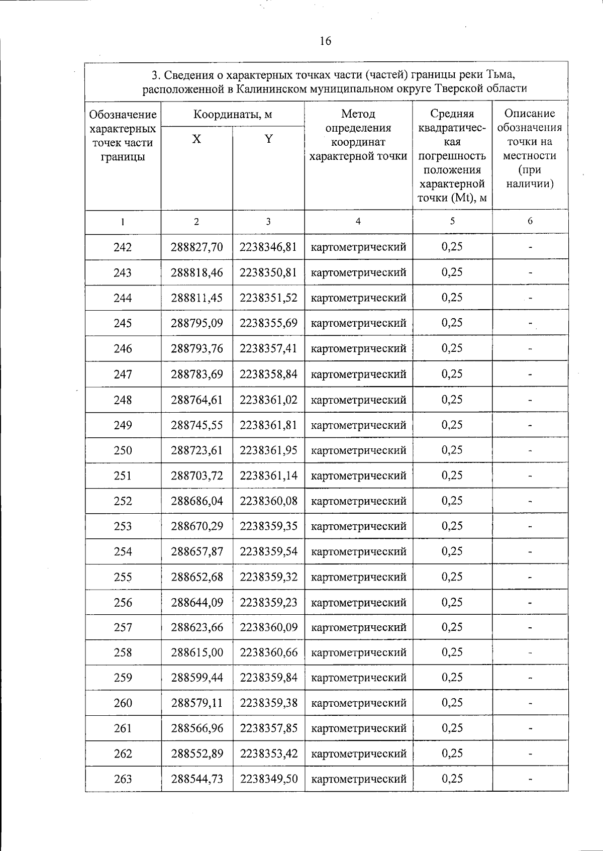
Приказ Министерства природных ресурсов и экологии Тверской области от 27.11.2025 № 36-нп
"Об установлении местоположения части береговой линии"
(Зарегистрирован 28.11.2025 № 3732507)
Номер опубликования: 6901202511280002
Дата опубликования: 28.11.2025
Страница №16 из 20:
Увеличить