Официальное опубликование правовых актов
ОФИЦИАЛЬНОЕ ОПУБЛИКОВАНИЕ
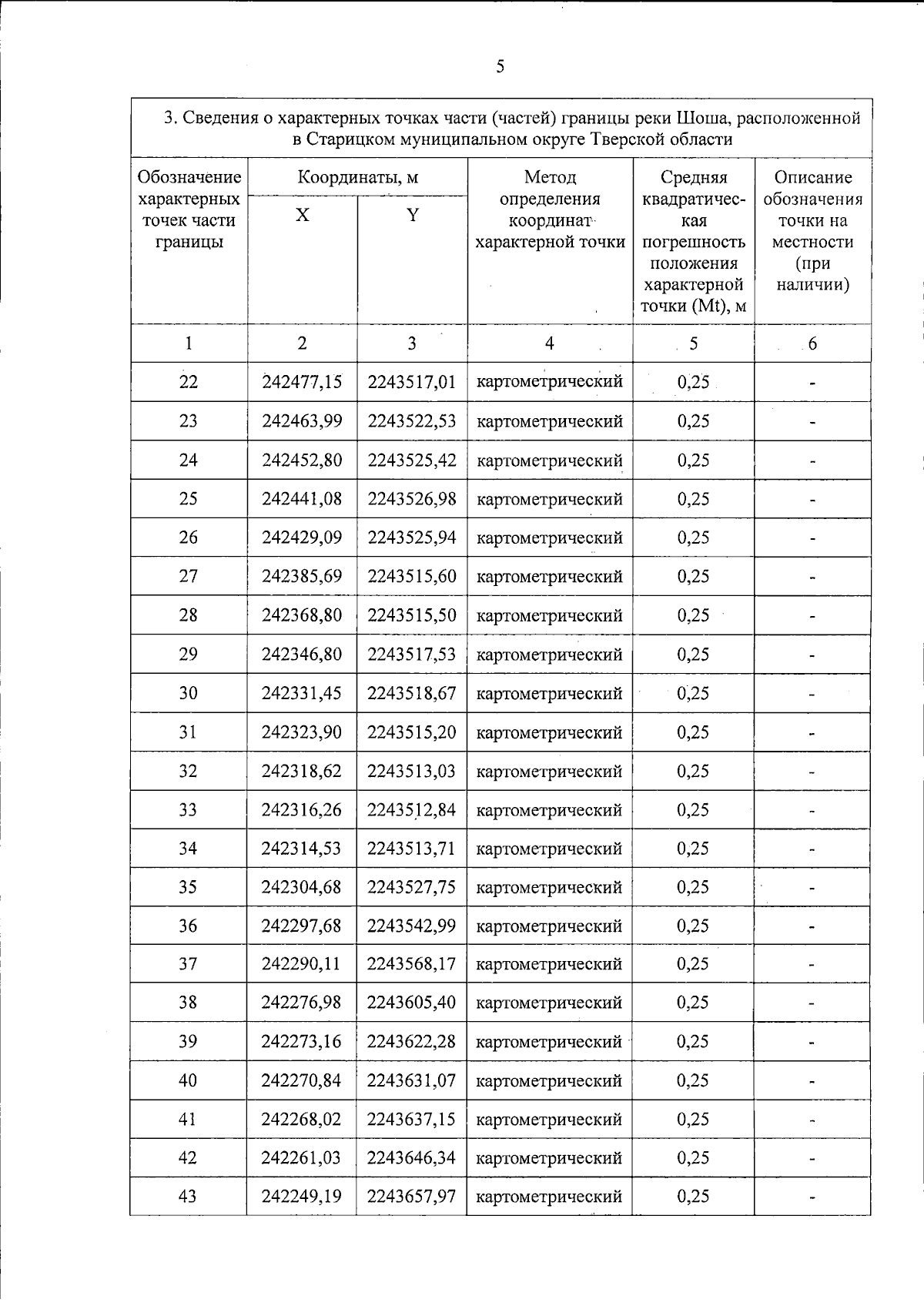
Приказ Министерства природных ресурсов и экологии Тверской области от 23.09.2025 № 32-нп
"Об установлении местоположения части береговой линии"
(Зарегистрирован 24.09.2025 № 2822507)
Номер опубликования: 6901202509240002
Дата опубликования: 24.09.2025
Страница №5 из 8:
Увеличить