Официальное опубликование правовых актов
ОФИЦИАЛЬНОЕ ОПУБЛИКОВАНИЕ
Приказ Министерства природных ресурсов и экологии Тверской области от 28.05.2025 № 22-нп
"Об установлении зоны санитарной охраны"
(Зарегистрирован 28.05.2025 № 1772507)
Номер опубликования: 6901202505280002
Дата опубликования: 28.05.2025
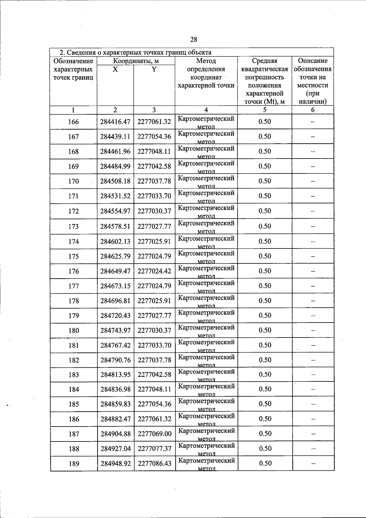
Страница №28 из 30:
Увеличить