Официальное опубликование правовых актов
ОФИЦИАЛЬНОЕ ОПУБЛИКОВАНИЕ
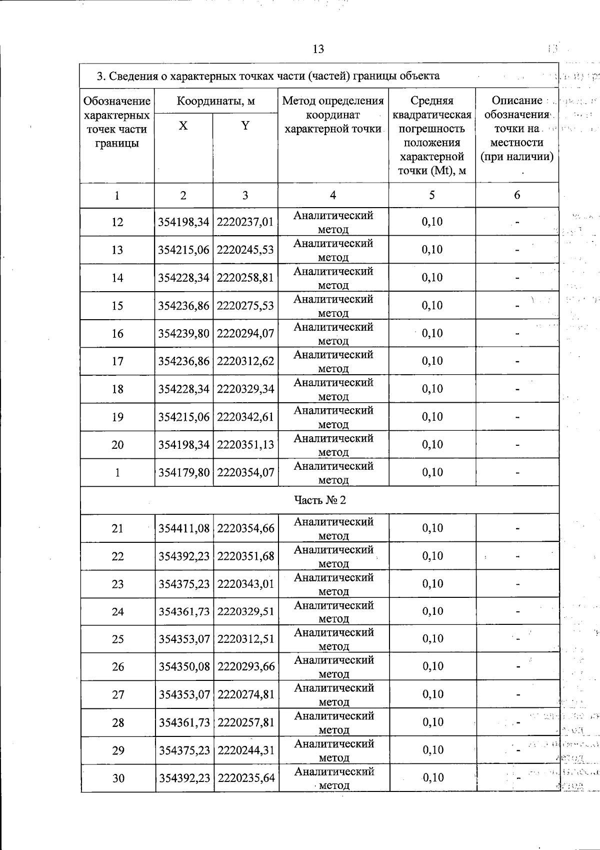
Приказ Министерства природных ресурсов и экологии Тверской области от 04.04.2025 № 16-нп
"Об установлении зоны санитарной охраны"
(Зарегистрирован 04.04.2025 № 1182507)
Номер опубликования: 6901202504070002
Дата опубликования: 07.04.2025
Страница №13 из 19:
Увеличить