Официальное опубликование правовых актов
ОФИЦИАЛЬНОЕ ОПУБЛИКОВАНИЕ
Приказ Министерства природных ресурсов и экологии Тверской области от 30.01.2025 № 3-нп
"Об установлении зоны санитарной охраны"
(Зарегистрирован 04.02.2025 № 0272507)
Номер опубликования: 6901202502060001
Дата опубликования: 06.02.2025
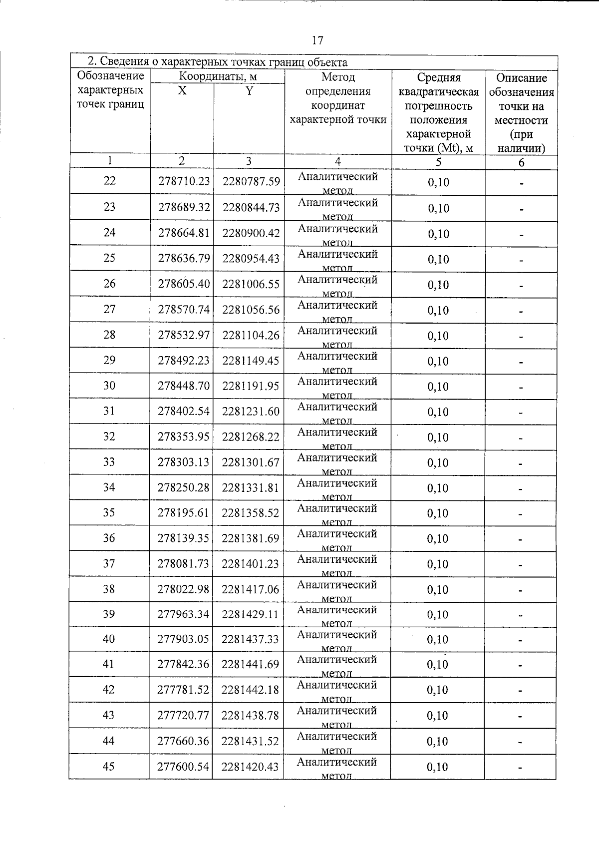
Страница №17 из 21:
Увеличить