Официальное опубликование правовых актов
ОФИЦИАЛЬНОЕ ОПУБЛИКОВАНИЕ
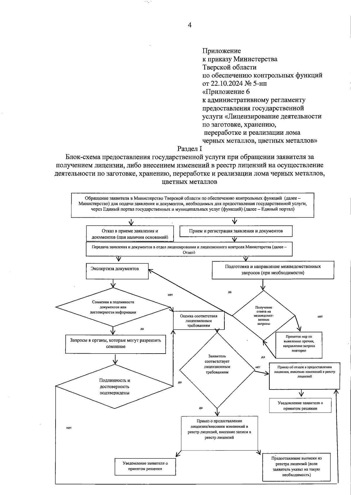
Приказ Министерства Тверской области по обеспечению контрольных функций от 22.10.2024 № 5-нп
"О внесении изменений в приказ Министерства Тверской области по обеспечению контрольных функций от 15.11.2013 № 14-нп"
(Зарегистрирован 23.10.2024 № 2782414)
Номер опубликования: 6901202410240001
Дата опубликования: 24.10.2024
Страница №4 из 6:
Увеличить