Официальное опубликование правовых актов
ОФИЦИАЛЬНОЕ ОПУБЛИКОВАНИЕ
Приказ Главного управления по государственной охране объектов культурного наследия Тверской области от 16.02.2024 № 6-нп
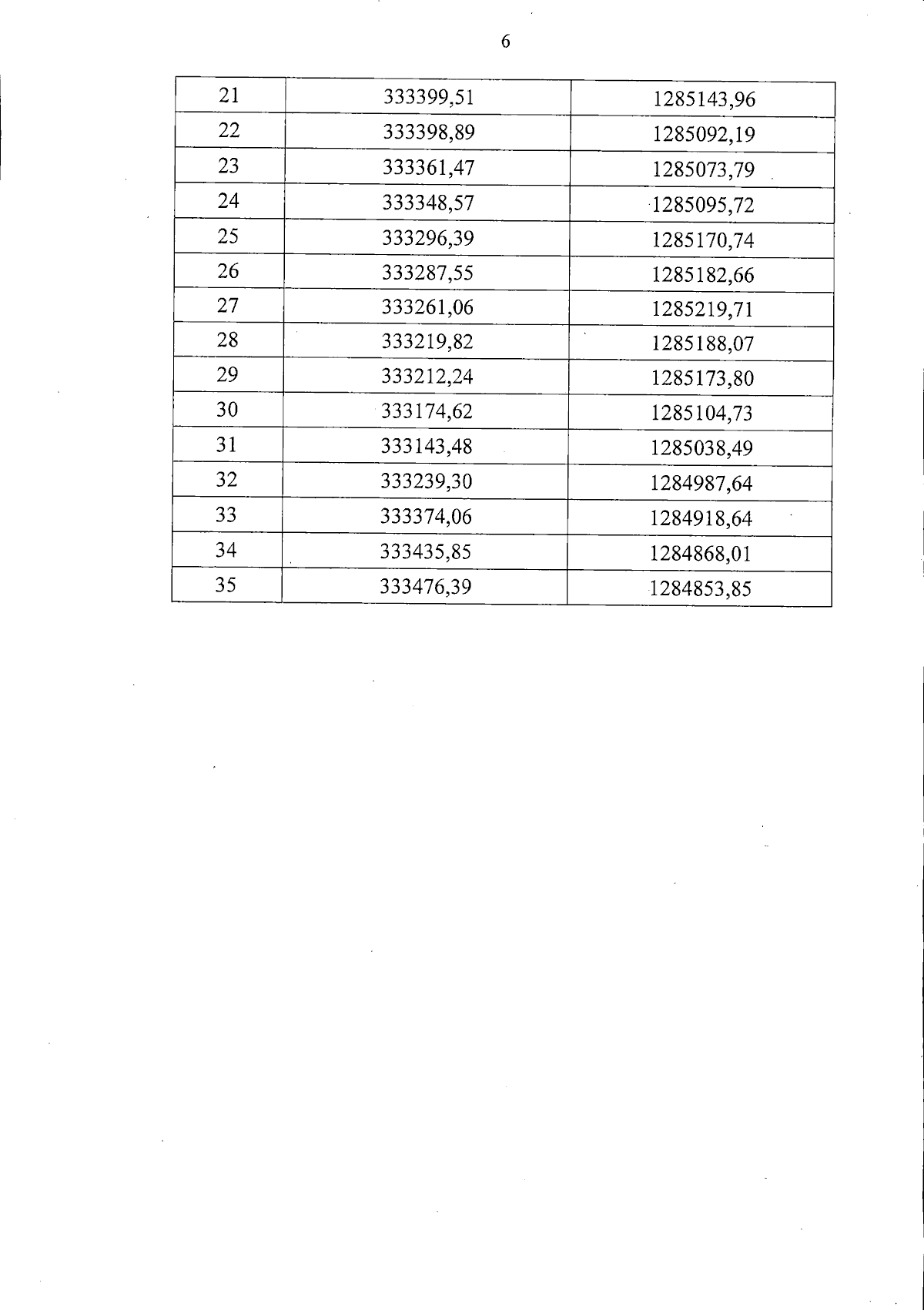
"Об утверждении границ территории объекта культурного наследия федерального значения "Монастырь Нилова Пустынь", XVIII в., расположенного по адресу: Тверская область, Осташковский район, Сорожское сельское поселение, район д. Светлица"
(Зарегистрирован 16.02.2024 № 0412427)
Номер опубликования: 6901202402160001
Дата опубликования: 16.02.2024
Страница №6 из 8:
Увеличить