Официальное опубликование правовых актов
ОФИЦИАЛЬНОЕ ОПУБЛИКОВАНИЕ
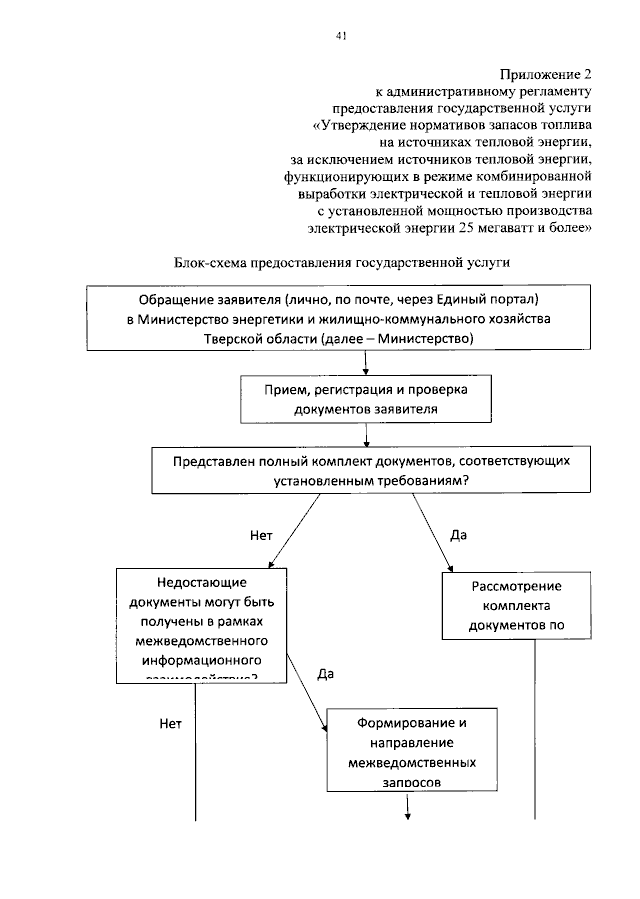
Приказ Министерства энергетики и жилищно-коммунального хозяйства Тверской области от 29.05.2023 № 1-нп
"Об утверждении административных регламентов предоставления государственных услуг"
Номер опубликования: 6901202305300002
Дата опубликования: 30.05.2023
Страница №41 из 124:
Увеличить