Официальное опубликование правовых актов
ОФИЦИАЛЬНОЕ ОПУБЛИКОВАНИЕ
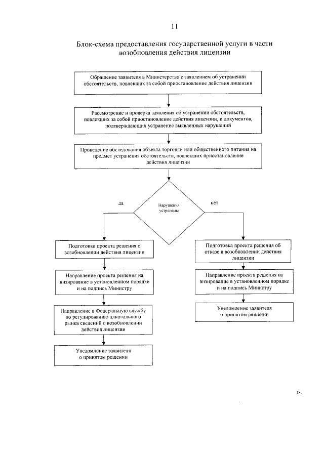
Приказ Министерства Тверской области по обеспечению контрольных функций от 04.04.2022 № 2-нп
"О внесении изменений в приказ Министерства Тверской области по обеспечению контрольных функций от 06.12.2013 № 15-нп"
Номер опубликования: 6901202204040002
Дата опубликования: 04.04.2022
Страница №11 из 11:
Увеличить